Форум РМС

Лечение в Москве - 8 (495) 506 61 01

Лечение за рубежом - 8 (925) 50 254 50

Оптимизация лечения внутриутробной задержки развития плода.

Внутриутробная задержка развития плода представляет весьма важную проблему для современных врачей-акушеров. Это связано с тем, что у новорожденных с массой тела меньше соответствующей их гестационному возрасту отмечается гораздо более плохой прогноз, чем у здоровых детей [5, 11]. Этот синдром, по данным разных авторов, встречается в 2,4-17% случаев и является одной из самых частых причин перинатальной заболеваемости. При наличии хронической фетоплацентарной недостаточности около 40% детей рождается в состоянии средней тяжести или в тяжелом состоянии [10]. В периоде новорожденности у этих детей имеют место признаки функциональной незрелости органов и систем, а также симптомы родовой и гипоксической травмы; неблагоприятно протекают адаптационный период и развитие в первые годы жизни.

Причины развития ВЗРП различны. Однако в основе патогенеза этого заболевания лежит нарушение всасывания и усвоения питательных веществ через плаценту (в первую очередь, глюкозы), дефицит транспорта кислорода и углекислоты. Установлено, что снижение маточно-пла центарного кровотока служит объективным показателем гипоксического поражения мозга плода [7]. В связи с этим при лечении ВЗРП особое внимание следует уделять коррекции гемодинами ческих и метаболических нарушений в системе мать—плод.

В литературе имеются данные об эффективном использовании актовегина для лечения ВЗРП [4]. Актовегин стимулирует энергетиче ские процессы метаболизма и анаболизма на клеточном уровне независимо от состояния организма, но главным образом, в условиях гипоксии и ишемии за счет увеличения накопления глюкозы и кислорода. Повышение транспортировки глюкозы и кислорода в клетку и усиление внутриклеточной утилизации ускоряют метаболизм АТФ. При применении актовегина наиболее характерный в условиях гипоксии анаэробный путь окисления (ведущий к образованию всего двух молекул АТФ) сменяется аэробным путем, в ходе которого образуется 36 молекул АТФ [9]. Таким образом, использование актовегина позволяет в 18 раз увеличить эффективность окислительного фосфорилирования и повысить выход АТФ, обеспечивая адекватное его содержание.

В работах последних лет также имеются сообщения о применении инстенона в лечении хронической внутриутробной гипоксии плода, плацентарной недостаточности, в том числе сочетающейся с гипотрофией и гипоксией плода [8]. При этом в условиях гипоксии и ишемии (особенно церебральной) представляется эффективным сочетанное применение актовегина и инстенона (многокомпонентного активатора нейрометаболизма), обладающего свойствами стимулятора лимбико-ретикулярного комплекса за счет активации анаэробного окисления и пентозных циклов. Стимуляция анаэробного окисления дает энергетический субстрат для синтеза и обмена нейромедиаторов и восстановления синаптической передачи, депрессия которой является ведущим патогенетическим механизмом неврологического дефицита при гипоксии и ишемии [9].

Таким образом, в настоящее время имеются данные об эффективности сочетания актовегина и инстенона, успешно применяемого в неврологической и психиатрической практике. Тем не менее объективная оценка этого комплекса в педиатрии и акушерстве явно недостаточна.

Материал и методы

С 1997 по 2000 г. были обследованы и взяты под наблюдение 190 беременных с ВЗРП. Из них 110 пациенток проходили лечение по общепринятым методикам (контрольная группа) и 80 - с использованием инстенона и актовегина (основная группа). Кроме того, были обследованы 120 пациенток с физиологическим течением беременности.

Все беременные с диагностированной ВЗРП получали комплексное лечение по следующей схеме: реополиглюкин по 400 мл в/в капельно №3-5 через день; метионин по 1 таблетке 3 раза в день; трентал (или курантил) по 1 таблетке 3 раза в день; глюкоза 40% 20,0 в/в №10; аскорбиновая кислота (5%) 5,0 в/в №10; кокарбоксила за 100 мг в/в №10; эссенциале по 2 капсулы 3 раза в день. Следует добавить, что беременные с гестозом или анемией получали комплексное лечение, принятое и проводимое в клинике для лечения гестоза и анемии беременных.

Пациентки основной группы дополнительно получали инстенон 2 мл вместе с 200 мл 20% раствора глюкозы в/в капельно №5-7 через день и актовегин 5 мл вместе с 200 мл 20% раствора глюкозы в/в капельно №5-7 через день.

Критерием эффективности лечения являлось улучшение общего состояния женщины, положительная динамика биофизических параметров плода и его функционального состояния по данным ультразвукового исследования, ультразву ковой допплерографии, кардиотокографии, содержания трофобластического бета-глобулина (ТБГ) и плацентарного лактогена (ПЛ) в сыворотке крови беременных.

Определение ТБГ и ПЛ в сыворотке крови проводили иммунодиффузионным методом с применением двойной диффузии в агаре по Ouchterlony (1949) [2] со стандартной тест-системой по Н.И. Храмковой (1973) [12,13] и Г.И. Абелеву (1973) [3].

Данные кардиомониторного наблюдения оценивались в баллах по Н.В. Krebs [1].

При ультразвуковом исследовании производили измерение бипариетального диаметра (БПД), толщины плаценты (ТП). Эхографическая оценка соответствия размеров плода сроку беременности проводилась в соответствии с нормограммами, разработанными В.Н. Демидовым (1996) [6].

При допплерографическом исследовании проводили количественную оценку кровотока в маточной артерии, артерии пуповины и средней мозговой артерии плода. При этом основное внимание уделялось определению максимальной систолической скорости кровотока и конечной скорости диастолического кровотока, а также их соотношению (систоло-диастолическое отношение - С/Д).

Результаты и обсуждение

Большинство беременных, получавших комплексное лечение с использованием актовегина и инстенона, отмечали улучшение общего состояния: улучшался сон, женщины становились спокойнее, исчезала быстрая утомляемость. Исключение составили беременные с тяжелой формой гестоза, у которых отсутствовал заметный эффект от лечения и которые были разрешены досрочно с учетом тяжести гестоза и состояния плода.

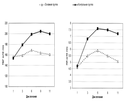
У пациенток с ВЗРП было отмечено значительное снижение содержания плацентарных белков по сравнению с физиологической беременностью. Тем не менее анализ динамики уровней ТБГ и ПЛ в группах больных показал положительный эффект комплексного лечения с использованием актовегина и инстенона (см. рисунок). Уже на 5-й день лечения в группе беременных, получавших актовегин и инстенон, уровень ПЛ и ТБГ стал достоверно выше такового у беременных из контрольной группы (р < 0,01).


Динамика уровня трофобластического бета-глобулина (ТБГ) и плацентарного лактогена (ПЛ) в сыворотке крови беременных контрольной и основной групп.


Внутриутробная задержка развития
Таблица 1. Показатели БПД в процессе лечения гипотрофии плода




Интересным является влияние комплексного лечения с использованием актовегина и инстенона на характер кардиотокограммы (КТГ). У беременных с оценкой КТГ в 8 баллов (нормальный тип) в отдельные дни отмечалось некоторое учащение сердечных сокращений. Под влиянием лечения частота сердечных сокращений нормализовалась.

У 17 беременных с препатологическими типами КТГ (6-7 баллов) под влиянием лечения мы смогли отметить улучшение амплитуды мгновенных колебаний, исчезновение замедленных акцелераций и нормализацию частоты сердечных сокращений. У 15 из 17 беременных оценка КТГ составила 8-9 баллов, а у 2 беременных - 7-8 баллов.

У 4 беременных с оценкой КТГ в 5 баллов добиться полного эффекта от лечения не удалось: у 3 оценка КТГ составила 6-7 баллов и одна была досрочно родоразрешена в связи с прогрессирующим ОПГ-гестозом.

Анализ ультразвуковых показателей также показал положительный эффект комплексного лечения с использованием актовегина и инстенона. В табл. 1 приведены данные сравнительно го анализа изменения БПД в процессе лечения в основной и контрольной группах. Как видно из представленных данных, показатели БПД в основной группе после проведенного лечения практически не отличались от таковых в группе пациенток с физиологическим протеканием беременности (p < 0,05), а в контрольной группе были достоверно ниже таковых в основной группе и при физиологической беременности (р < 0,05).

Изучение кровотока в артерии пуповины плода показало, что при ВЗРП систоло-диастоличе ское соотношение увеличивается за счет сниже
ния его диастолического компонента и составляет более 3,0. Степень увеличения систоло-диа столического соотношения находится в прямой зависимости от степени тяжести синдрома. Менее выраженные изменения отмечены в маточной артерии и средней мозговой артерии плода. Причем патологические кривые скоростей кровотока маточных артерий характеризовались нестабильностью, в связи с чем значения индексов, полученные в разные дни, имели существенные расхождения, но всегда оставались выше нормативных значений.

Как видно из табл. 2, комплексное лечение гипотрофии плода с использованием актовегина и инстенона оказало положительное влияние на кровоток плода. Показатели систоло-диастоличе ского отношения в основной группе после проведенного лечения практически не отличались от таковых в группе пациенток с физиологическим течением беременности (p < 0,05).

В процессе проводимого лечения мы получили результаты, которые трактовали как «полный эффект» в том случае, если признаки гипотрофии исчезали полностью. Частичным эффектом лечения мы считали те случаи, когда выраженную гипотрофию удавалось перевести в умеренную, и неэффективными считали наблюдения, когда положительная динамика полностью отсутствовала. Из табл. 3 видно, что более благоприят ные результаты получены в тех случаях, когда применялось комплексное лечение с использованием актовегина и инстенона.

Из 190 наблюдавшихся нами беременных с гипотрофией плода 169 (89%) женщин родили в срок: 97 (88%) пациенток контрольной группы и 72 (90%) в основной группе. У 21 (11%) пациентки роды были преждевременными, из них 15 произведено кесарево сечение в срок 35-37 нед.

Таблица 2. Показатели систоло-диастолического отношения после лечения



Таблица 3. Результаты лечения гипотрофии плода



Во всех случаях была диагностирована прогрессирующая гипотрофия плода.

На момент рождения в основной группе 85% детей были оценены по шкале Апгар в 7-10 баллов. В то же время в контрольной группе таких детей наблюдалось 55%. В контрольной группе было 2 мертворождения - это дети от матерей, у которых гипотрофия плода сочеталась с тяжелым гестозом; в одном из этих наблюдений в срок 35 нед началась отслойка нормально расположенной плаценты, и, несмотря на срочно выполненную операцию кесарева сечения, плод был извлечен мертвым.

В основной группе 60 (75%) детей родились с массой больше 2500 г и без признаков гипотрофии. Из 20 детей, родившихся с массой менее 2500 г, у 2 при рождении были признаки гипотрофии 1-й степени (до лечения имелась ВЗРП 2-й степени). Гипотрофия 2-й степени отмечалась у 7 детей (до лечения ВЗРП 3-й степени), 3-й степени - у 3 (лечение без эффекта) и у 8 признаков гипотрофии не выявлено.

В контрольной группе 53 (48%) ребенка родились с массой более 2500 г. У 60 (54%) из 110 новорожденных имелись признаки гипотрофии. Кроме того, частота рождения детей с маленькой массой (1650-2100 г) у женщин, не получавших комплексного лечения с актовегином и инстеноном, была в 3,5 раза больше. Таким образом, проведенное исследование позволяет отметить выраженный положительный эффект комплексного лечения с использовани ем актовегина и инстенона.

Выводы

1. Комплексное лечение ВЗРП с включением актовегина и инстенона способствовует нормализации белок-синтезирующей функции плаценты, улучшению сердечной деятельности плода, плодово-плацентарного и маточно-плацентарного кровотока.
2. Использование препаратов актовегин и инстенон в комплексном лечении ВЗРП позволяет добиться положительных результатов в подавляющем большинстве случаев: при ВЗРП 1-й степени - в 100%, при ВЗРП 2-й степени - в 93% наблюдений. При ВЗРП 3-й степени в 70% случаев удается достичь частичного эффекта.

Литература

1. Krebs H.B. Intrapartum fetal heart rate monitoring. Am J Obstet Gynecol 1979; 133: 7: 762-780.
2. Ouchterlony O. Antigen-antibody reactions in gels and the practical application of this phenomenon in the laboratory diagnosis of diphtheria. Stockholm 1949.
3. Абелев Г.И. Сверхчувствительный радиоиммунодиффузи онный метод определения антигенов. Бюл экспер биол и мед 1973; 76: 11: 122-125.
4. Аль Садык А.А.Г. Оценка эффективности актовегина при лечении внутриутробной задержки развития плода: Автореф. дис. ... … канд. мед. наук. М 1995.
5. Бондаренко Е.С., Зыков В.П. Перинатальная гипоксическая энцефалопатия. Рус мед журн 1999; 7: 4: 169-173.
6. Демидов В.Н., Розенфельд Б.Е. Ультразвуковая компьютер ная фетометрия. Определение срока, массы и роста плода в III триместре беременности. Ультразвуковая диагностика 1996; 1: 14-19.
7. Кулаков В.И. Пренатальная медицина и репродуктивное здоровье женщины. Акуш и гин 1997; 5: 19-22.
8. Манухин И.Б., Гридчик А.Л. Лечение хронической внутриутробной гипоксии плода с использованием инстенона. Инстенон - аспекты применения в клинической практике: Сборник научных статей. М 1998; 42-47.
9. Румянцева С.А., Врублевский О.П., Гридчик И.Е. Антигипок санты в лечении острого поражения головного мозга. Рус мед журн 1999; 7: 1.
10. Сидорова И.С., Макаров И.О., Кузнецов М.И., Зотова Н.В., Панарина Е.Н., Трушина О.И. Определение фетоплацен тарной недостаточности при позднем гестозе и тактика ведения беременных. Рос вестн перинатол и педиат 1997; 5: 54-59.
11. Федорова М.В. Плацентарная недостаточность. Акуш и гин 1997; 5: 40-43.
12. Храмкова Н.И. и др. Антигенная структура плазматиче ских мембран клеток печени мыши (1 сообщение). Цитология 1973; 15: 10: 1284-1290.
13. Храмкова Н.И. и др. Антигенная структура плазматиче ских мембран клеток печени мыши (2 сообщение). Цитология 1973; 15: 11: 1421-1426.


Н.В. Стрижова, Г.Н. Лисицына
Кафедра акушерства и гинекологии №2 лечебного факультета РГМУ, Москва